Home People Research Lab Publications Contact

POLYMER SOLUTIONS AND GELS GROUP

Polyelectrolytes in solution

The central aim of our group's research is to understand the physics of polyelectrolyte conformation and dynamics in solution, a problem which we primarily tackle using scattering and rheological techniques. We apply scaling concepts to complex, multicomponent systems (e.g. polyelectrolytes in the presence of salts, surfactants or non-solvents) and extract structural and hydrodynamic properties.

Polyelectrolytes (PEs) are polymers with ionic groups along their backbone. In solution, counterions dissociate leaving the polymer with net charge, which makes them strongly correlated systems. Polyelectrolytes are present in the synovial fluid, where they provide lubrication between joints, in food products and pharmaceutical creams, where they act as texture modifiers. In wines, they can be added to prevent tartaric acid crystallisation, in laundry detergents they act as anti-soil redeposition agents and as water-softeners. Recently, mRRA (a polyelectrolyte) vaccines have transformed immunisation against COVID-19 on a global scale. Despite their enormous prominence in biological phenomena and industrial products, polyelectrolytes were once described by PG de Gennes as ‘the least understood form of condensed matter’, a designation which still holds true. Some of our research areas on polyelectrolyte solutions are outlined below. For overviews of some of the problems in polyelectrolyte physics, also check these reviews:

Counterion condensation

Counterion condensation schematic
Figure 1: Schematic representation of counterion condensation. Blue are condensed counterions and green are free counterions. Red arrows indicate Bjerrum length.
Counterion activity vs c/c*
Figure 2: Counterion activity of poly(vinyl-benzyltrialkylammonium) chloride versus overlap parameter c/c*, where c* is the overlap concentration. The Manning–Oosawa threshold applies above c/c* ≈ 0.1. Top axis: overlap assuming fully stretched chains; bottom axis: using a realistic stretching factor of 2. Adapted from [Wandrey et al., 1999].
In solution, counterions dissociate from the side groups of polyelectrolytes, leaving the backbone with a net charge. Already in the late 1930s, experimentalists observed experimentally that the thermodynamic properties of polyelectrolyte solutions did not match those expected from the chemical charge density of the polymers. Oosawa proposed a 'two-zone' model of counterions to account for some of these experimental observations. According to this model, counterions can exist in a condensed state (the term condensed was used by Manning a decade later), where the electrostatic pull from the oppositely charged backbone essetially traps them in the close viscinity of the polymer backbone, making them osmotically inactive. Manning developed a theory of counterion condensation in 1969 which remains among the most cited articles in all of polymer science. While the Oosawa and Manning models differ in their predictions for counterion activity and osmotic coefficient, both thoeries predict that for a rod-like polyelectrolyte at infinite dilution, counterions condense onto the backbone and reduce the effective charge density to one charge per Bjerrum length (\(l_B\)). The Bjerrum length is the distance at which the electrostatic energy between two monovalent charges is equal to their thermal energy (k_B T): \[ l_B=\frac{e^2}{4πk_B T\epsilon_0\epsilon} \] with \(e\) the electrostatic unit of charge, \(\epsilon_0\) the vacuum permittivity and \(\epsilon\) the dielectric constant or relative permittivity. Figure 1 illustrates the prediction of Oosawa-Manning condensation. In polar solvents with high dielectric constants (left panel), the Bjerrum length is shorter than the distance between ionic groups on the backbone and all counterions can leave the vicinity of the chain and explore the solution volume, thereby gaining entropy. In low or medium dielectric constant solvents, as shown right panel, the Bjerrum length is larger than the distance between charged groups, leading to counterion condensation.

The Oosawa-Manning model was derived for rod-like chains at infinite dilution but experimental data plotted in figure 2 show that the OM threshold only applies above the overlap concentration c* (semidilute regime). Below c*, the counterion activity (\(f_a\)) in-creases on dilution. For \(c/c^*\ll 1\), it is expected to reach unity, as predicted by of Muthukumar and Dobrynin and co-workers. Tang and Rubinstein developed a model of counterion condensation which reproduces the Oosawa-Manning result above c^*

Within the framework of the Manning model, the fraction of condensed counterions (f) should be solely a function of:

\(\ \)

The nature of the counterion and its non-electrostatic interactions (e.g., hydrophobic effects) with the side group and backbone are not considered in the Oosawa–Manning model.

Counterion condensation vs. charge density: Several reliable datasets exist for the dependence of the fraction of condensed counterions (and related parameters) as a function of charge density. These have been reviewed by Manning in: [Manning 1979, Manning 1996, Manning & Ray 1998] and more recently by us [Gharehtapeh et al. 2025]. The predictions of Oosawa–Manning qualitatively agree with the experiments.

A major limitation of the current literature is that, despite the relatively broad set of systems that have been investigated, counterion condensation has not been measured for a single system with multiple techniques (e.g., electrophoresis, osmometry, conductivity). From the data available, it is clear that different methods yield different values for the fraction of condensed counterions. For example, osmotic, conductivity and dielectric spectroscopy estimates for the fraction of free counterions for NaPSS in water were compared in [Bordi et al. 2002], and disagree within a factor of ≈ 3. A comparison of six methods for estimating the effective charge density of carboxymethyl cellulose yielded similar disagreements [Gharehtapeh et al. 2025], presumably because different techniques probe different ion populations.

Influence of counterion valence: Potentiometric and osmometric measurements by Rinaudo and co-workers, reviewed by us in [Gharehtapeh et al. 2025], show that the effective charge fraction of polyelectrolytes with divalent counterions is roughly half of that with monovalent ions, in agreement with the Oosawa–Manning model. Data for trivalent counterions are still lacking due to the poor solubility of trivalent polyelectrolyte salts in water. In Section II, we present new results addressing this limitation.

Counterion condensation vs. Bjerrum length: Most studies on polyelectrolytes have focused on aqueous systems. Aqueous/organic mixtures have been studied, but only within narrow Bjerrum length ranges [Hou et al. 2025a]. The reason for this gap in experimental studies is likely the poor solubility of polyelectrolytes in organic media, see below. Direct measurements of the free-ion fraction (f) as a function of Bjerrum length, excluding such mixtures, are limited to three studies. Two of them yielded results inconsistent with Manning theory: [Lopez et al. 2024] inferred f from overlap-concentration scaling of two poly(ionic liquids), and [Beer et al. 1997] fitted a variational model to the radius of gyration data of quaternized poly(2-vinylpyridine) in several solvents. In contrast, the conductivity measurements of Gulati et al., 2025, which provide a more direct estimate of f, show better agreement with Oosawa–Manning predictions (see this preprint ).

In practice, obtaining reliable values of $f$ is not straightforward. Osmotic pressure measurements provide a direct estimate of the number of osmotically active ions but it is difficult to measure the osmotic pressure in organic solvents using commercial osmometers. Light scattering offers an attrative method to study the osmotic properties of polyelectrolyte solutions because the zero-angle scattering intensity is related to the osmotic compressibility of the solution. Specifically, the excess light scattering intensity (usually expressed as the Rayleigh ratio \(\Delta R\) is: \[ \Delta R(q) = K \rho_{\mathrm{pol}}^{2} N_A S(q) \] where \(\rho_{pol}\) is the polymer density, \(S(q)\) is the total structure factor and \(K\) is the optical contrast: \[ K = \frac{4\pi^2 n_0^2}{N_A \lambda^4}\left(\frac{dn}{dC}\right)^2 \] where \(\lambda\) us the wavlength of light and \(\frac{dn}{dC}\) the refractive index increment. The total structure factor at zero angle is: \[ S(0) = k_B T \, c \, \frac{dc}{d\Pi} \] and therefore allows, in principle to measure the derivative of the osmotic pressure with respect to concentration, from which the fraction of free counterions can be obtained (\(\Pi \simeq k_BTfc\)). In practice, however, applying this relation to salt-free polyelectrolytes is not straightforward because the scattering function at low $q$ is typically dominated by the so-called low-$q$ upturn. This excess scattering leads to values of the zero-angle intensity that are several orders of magnitude larger than those expected from the osmotic compressibility of the solution. The origin of this low$-q$ upturn is not understood and has been extensively debated in the literature. Recently, we showed that the low-$q$ upturn can be largely removed by filtration through sufficiently small pores and that the remaining contribution of the slow mode can be separated using dynamic light scattering (DLS), see the figure below. Once this contribution is removed, the resulting scattering intensity is found to correspond to the osmotic compressibility expected for salt-free polyelectrolyte solutions. The corrected zero-angle intensity can therefore be used to determine the fraction of free counterions.
Effect of filtering on polyelectrolyte scattering
Left: Total structure factor of two TBACMC solutions measured by static light scattering and small angle neutron scattering. The solutions have been filtered through 0.8 $\mu$m filters (blue symbols) or 0.1 $\mu$m filters (purple symbols). The correlation peak is not affected by filtration and the mesh size is therefore unchanged. The upturn is greatly diminished by decreasing the pore size indicating that whatever entities responsible for the low$-q$ upturn have been removed to a large extent. This is also reflected in the decrease of the intensity of the slow decay observed in DLS (right pannel).
The figure below shows that the fraction of free counterions obtained using two established techniques, freezing point depression osmometry and electrical conductivity, agrees well with the value obtained from the zero-angle scattering intensity after removing the low$-q$ upturn by filtration and DLS splitting. This agreement suggests that the procedure outlined above provides a quantitatively reliable estimate of the fraction of free counterions. An advantage of the SLS/DLS method over osmotic pressure measurements is that it can be applied to organic solvents regardless of their freezing point or volatility. In addition, the accuracy of the method increases as the fraction of free counterions decreases.
Effect of filtering on polyelectrolyte scattering
Fraction of free counterions obtained from direct measurements of the osmotic pressure by freezing point depression, electrical conductivity and the zero-angle scattering intensity after subtracting the slow mode contribution. Data are for the sodium and magnesium salts of polyglutamic acid (NaPGA and MgPGA) in water and for NaPGA in ethylene glycol.
A draft of the manuscript explaining these results can be found here: Osmotic pressure, light scattering and counterion condensation in polyelectrolyte solutions

Ion pairing

The concentration of counterions within the condensed layer approaches the molar regime even if the overall ion concentration in the solution is low. At such high concentrations, ions can associate to form ion pairs. Unlike counterion condensation, which depends mainly on charge density, ion valence, and solvent dielectric constant, ion pairing is strongly influenced by the solvent structure around the ion. Ion pairing is therefore important for understanding specific ion effects, including ion selectivity, phase behaviour, and ion transport in polyelectrolyte solutions, gels, and membranes.

Our research quantifies ion pairing using density and speed of sound measurements. When ions associate with charged groups on the polymer, changes in hydration lead to measurable changes in the system's volume and the compresibility of the solvent. By analysing how density and sound velocity vary with ion type and concentration, we evaluate the extent of ion pairing and the corresponding hydration changes. We then use equilibrium dialysis to determine how strongly different ions are preferentially retained or excluded by the polymer. Combining these methods allows us to link microscopic ion pairing with macroscopic ion selectivity, providing a quantitative framework to understand and design selective polyelectrolyte materials.

Phase behaviour

Polyelectrolytes in salt-free solution are unusual among polymer systems in that their phase behaviour is independent of their molar mass. The reason for this is that the osmotic pressure of the dissociated counterions (≈ \(k_BT\) per free counterion): \[\Pi \simeq k_BTfc\] is much larger than that of the chains (≈ \(k_BT\) per chain): \[\Pi \simeq k_BTc/N\] Polyelectrolyte solubility should then depend primarily on the fraction of free counterions (f). According to the Manning theory of counterion condensation, the fraction of free counterions is given by the ratio of the charge spacing to the Bjerrum length of the solvent media: \[l_B=\frac{e^2}{4\pi\epsilon k_BT}\] here \(\epsilon\) is the dielectric constant of the solvent. According to the above picture, the dielectric constant should be the main parameter indicating whether a polyelectrolyte is soluble in a given solvent. Experimentally, this is found to not be the case for polyelectrolyte solutions and gels.[1] An example is shown in the figure to the right, where the solubility of two polyelectrolyte is plotted in the Hansen representation. Here \(\delta_H\) is the Hansen hydrogen bonding parameter and \(\delta_P\) is the Hansen polarity parameter. The results suggest that polymer-solvent interactions and/or counterion-solvent interactions are the primary factor influencing polyelectrolyte solubility. This contrast with the classical models of polyelectrolyte solutions, which expect solubility is set by counterion entropy.

Our current research on this topic tries to elucidate the phase behaviour of polyelectrolytes in salt-free and salt-containing solutions, probing the influence of counterion and solvent type. We also use osmometric, potentiometric methods to understand the influence of dielectric constant and solvent quality on the fraction of dissociated counterions.

Image description
Phase behaviour of poly(ionic liquid) poly(1-butyl-3-vinylimidazolium bis(trifluoromethanesulfonyl)imide) (PC4-TFSI) and of polysaccharide tetra butyl ammonium carboxymethyl cellulose (TBACMC).
Selected publications

Polyelectrolyte rheology: shear-induced gelation

Understanding the influence of charges on the dynamics of ion-containing polymers remains a formidable challenge. Polyelectrolytes find extensive applications in solutions as flow modifiers for as stabilizers in colloidal suspensions, and structuring agents in pharmaceutical creams and food products. We study the rheology of polyelectrolyte solutions in aqueous and organic media and resolve the influence of different parameters (molar mass, backbone solvohilicity, counterion type, solvent ionic strength and dielectric constant...) on their flow behavior.

Image description
Rheology of polystyrene sulfonate solutions in aqueous NaCl solutions. At high ionic strengths the viscosity increases with increasing added salt content and the flow curves display strong shear thickening behaviour.
Selected publications

Polyelectrolytes with hydrophobic counterions: Behaviour in non-aqueous solvents

Polyelectrolytes are usually studied in aqueous media. One reason for this is that common polyelectrolyte are not soluble in organic solvents. This limits our understanding of polyelectrolyte physics because most available data are for solutions at fixed dielectric constant of 78. Our group studies the behaviour of polyelectrolytes in non-aqueous (see the phase behaviour heading above) and mixed solvent media. Specifically, we seek to understand 1) how the phase boundary of polyelectrolytes depends on non-solvent content and on the non-solvent properties. 2) how the structure and rheology of polyelectrolyte systems depends on the solvent properties and 3) how counterion condensation depends on the dielectric permitivitty of the solvent media.

Image description
Left: Solubility diagram for NaCMC in water/non-solvent mixtures. Middle: fraction of monomers bearing a dissociated charge as function of the Bjerrum length of the solvent Different colours correspond to different water/non-solvent mixtures. The dashed line is the Manning-Oosawa prediction for dilute polyelectrolytes. Right: Specific viscosity of the same NaCMC polymer in water-ethanol mixtures.
Selected publications
  • Solutions of Carboxymethylcellulose with Organic Counterions (I): The Influence of Counterion Properties on the Polymer Structure and Solubility
  • Viscosity of Polyelectrolytes: Influence of Counterion and Solvent Type
  • Structure and rheology of carboxymethylcellulose in polar solvent mixtures
  • Solutions and gels of polymerised ionic liquids

    Poly(ionic liquid) solutions

    Poly(ionic liquids) (PILs) are polyelectrolytes made by polymerising ionic liquids. These present two interesting properties: first, they display wide solubility in organic media and second, they can be molten without degradation. Our research examines PIL solutions using scattering, rheology and thermodynamic measurements to determine how ion–polymer interactions control polymer conformation, ion association and viscoelastic behaviour.

    Selected publications
  • Structure of poly(ionic liquid)s in solutions: a small angle scattering study
  • Reinforcing gels with colloidal nano-particles

    IonicIonic liquids are salts with melting points usually below 100oC which display good electrical conductivity, thermal stability and low vapour pressure. In recent years, they have attracted great interest due to their applications as lubricants, as solvents for cellulose, in bio-catalysis, or as electrolytes in fuel cells. The polymerisation and cross-linking of ionic liquids produces elastomeric gels with excellent conductive properties. Compared to hydrogels, which are affected by ambient moisture and degrade at moderate temperatures, cross-linked hydrophobic polyionic liquids (CL-PIL) display high durability and are stable over a broad temperature range. The composition of CL-PILs can be tuned by ion exchange reactions, which allows for fine modulation of their properties with minimal synthesis work. For example, high resistance to moisture can be achieved with hydrophobic counterions. The good permeability and selectivity for CO2/N2 gas mixtures of CL-PILs makes them useful as membranes in CO2 capture.

    As with many polymeric gel systems, iongels display limited mechanical strength, which hinders their practical applications. One strategy to overcome this limitation is to reinforce polymer gels by constructing a second network, the so-called double network principle. In this context, it was recently shown that the addition of fumed silica nanoparticles (SNPs) or cellulose nanofibers (CN) can be used to improve the mechanical properties of cross-linked polyionic liquids (Watanabe et al, 2020. Soft Matter, 16(6), 1572-1581, Watanabe, et al 2023. Soft Matter, 19(15), pp.2745-2754.). The formation particle clusters lead to a substantial increase in the Young’s modulus and fracture strain of the gels without influencing their thermal stability or moisture resistance. The objective of this research theme is to understand the mechanism underpinning the network reinforcement in cross-linked PILs. Results indicate the improved mechanical properties are not the result of a ‘filler’ effect, as observed in nanoparticle-loaded polymer melts and rubbers. The surface properties of the particles, and not their volume fraction determine the degree to which mechanical properties are enhanced. We use oscillatory shear rheology and DMA to quantify the mechanical strength of the networks. Small angle neutron and x-ray scattering techniques are used to determine the aggregation state of the nanoparticles. Ionic liquids supercool easily and thus their dynamics are well-suited to be studied by time-temperature superposition rheology: varying the sample temperature between ≈ -80°C and +40°C, some 10 orders of magnitude in frequency can be obtained, extending from the rubbery plateau to the glassy region.

    Selected publications
    Figure

    Nanoions and their binding to polymers

    Interaction of polysaccharides with nano-ions

    Nanometer-sized ions exhibit properties which are intermediate between those of classical ions (e.g. Na+, K+, F-) and those of charged colloids. Polyoxometalates or boron clusters exhibit so-called super-chaotropic behavior, and bind strongly to hydrated non-ionic matter in aqueous media. For polysaccharides such as hydroxypropyl cellulose, these ions bind to the backbone, turning the neutral polymers into a strongly charged polyelectrolyte. Nano-ions can also promote inter-chain crosslinking and lead to gelation. Hydrophobic nanions such as tetraphenyl borate lead to similar effects; however, the strength of ion binding to the backbone increases with temperature.

    Our research seeks to understand the structure and dynamics of polysaccharides in the presence of nanoions. X-ray and neutron scattering techniques are used to quantify polymer conformation and the structure of the polymer mesh in solution. Rheology allows us to measure inter-molecular cross-linking. Dielectric spectroscopy yields information on the dynamic processes of nano-ions, which allows us to quantify ion-binding to the polymer backbone.

    Selected publications
    Nano-ions
    Interaction of polysaccharides with nano-ions

    Polysaccharide solutions: Thermodynamics and Rheology

    Osmotic pressure and screening lengths of polysaccharides

    Excluded volume and hydrodynamic forces become progressively screened as the concentration of a polymer solution increases beyond the overlap point (\(c^*\)). The variation of static, osmotic and osmotic screening lengths with concentrantration helps us understand the thermodynamic and flow properties of polymer solutions. Our research on this topic focuses on flexible and semiflexible polysaccahrides in aqueous and organic solutions, using small angle x-ray scattering, small angle neutron scattering (SANS) and osmometric techniques, primarily freezing point depression.

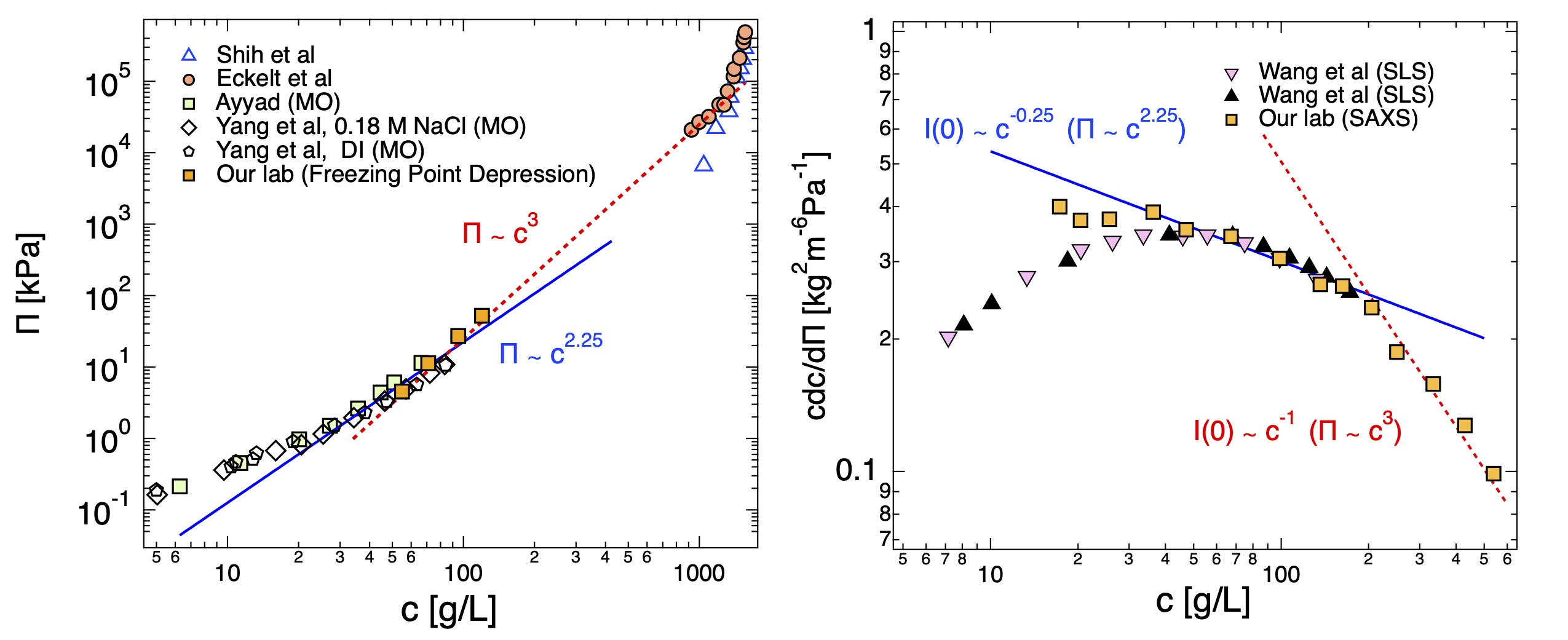
    The figure below plots the osmotic pressure and osmotic compressibility of pullulan, a flexible polysaccharide, in aqueous solution, as a function of polymer concentration. The theoretical predictions (\(\Pi \sim c^{2.25}\) in the semidilute regime and \(\Pi \sim c^{3}\) in the concentrated regime) are observed.

    Osmotic properties of pullulan
    Osmotic properties of pullulan. Left: Osmotic pressure of pullulan solutions in water calculated from vapour sorption data and membrane osmometry (MO). Right: osmotic compresibility measured by static light scattering (SLS) and small angle x-ray scattering (SAXS).

    Polysaccharide Entanglement

    The dynamics of polymer chains in non-dilute solutions and melts are hindered by topological constrains known as entanglements. While their the effects of entanglements are well-known, a detailed microscopic picture of what constitutes an entanglement remains elusive. In 1981, Graessley and Edwards derived a simple scaling law for the plateau modulus of a polymer solution \(G_P\), which is proportional to the entanglement density:

    \[ \frac{G_Pl_K^3}{k_BT} = K (l_K^2\rho L)^\alpha \]

    here \(l_K\) is the Kuhn length of the polymer, L is the contour length, \(\rho\) is the number density of chains and K is a constant that is dependent on the polymer−solvent pair. The exponent α is a free parameter in the Graessley-Edwards model, and experiments on flexible polymers show it to be in the range of ≈ 2−2.3. A different scaling regime applies for stiff polymers. The situation is less clear for polysaccharides, which display intermediate behaviour between flexible and rigid polymers. An additional complication arises from the presence of hyperentanglements, a term used to describe the combined effect of topological constraints and associative inter-chain interactions. Our group studies the flow properties of entangled polysaccharides using rheological and micro-rheological techniques. We seek to understand the correlation between the polymer's structure, polymer-solvent interactions and entanglement interactions.

    Selected publications

    Effect of associative and electrostatic interactions on polysaccharide dynamics

    Our research examines how electrostatic and associative interactions control the dynamics of polysaccharide solutions and gels, using sodium carboxymethyl cellulose (NaCMC) as a model system. By varying the degree of substitution, ionic strength and pH, we isolate the relative influence of long-ranged electrostatic repulsion and short-ranged hydrophobic associations on the rheology of semidilute solutions. These studies show that highly substituted NaCMC behaves as a typical hydrophilic polyelectrolyte, while weakly substituted samples develop transient inter-chain associations that lead to aggregation, slow dynamics and eventual gelation. We further investigate how associative interactions modify the nonlinear rheology of these systems using oscillatory shear measurements. Decreasing the charge density of the polymer, for example by lowering the pH, promotes interchain associations and gel formation, whereas increasing the pH suppresses these interactions by improving the solubility of the cellulose backbone.
    Polysaccharide Entanglement Summary
    Summary of electrostatic and associative contributions to polysaccharide rheology

    (work in progress)

    Image description

    Selected publications

    Rheology of soft colloids

    (work in progress)

    Image description